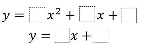
Line Tangent to a Parabola

Directions: Using the digits 1 to 9, at most one time each, place a digit in each box so that the line is tangent to the parabola.

Hint

Set the functions equal to each other. When solving this equation, the discriminant must be 0.

Answer

One possible answer:
y=x^2+6x+7
y=2x+3

Source: Erin Stenger

Use This Problem

Embedded problems let you easily add Open Middle problems into your Canvas assignments, Google Classroom, and more. Customize which elements are shown, and watch it update live before adding it anywhere.

Mode

Customization

Add to Platform

Check Also

Constructing a Nondifferentiable Function

Directions: Using the digits -9 to 9, at most two times each, place a digit …

Leave a Reply

Your email address will not be published. Required fields are marked *